El concepto intuitivo de cantidad
de movimiento de un sistema mecánico de partículas es su facultad de “empujar”
o imprimir velocidad a otras partículas o cuerpos. Esa capacidad tiene sus
responsables tanto en la masa del sistema coo en su velocidad, La mecánica
clásica define la cantidad de movimiento de un sistema como:
En sistemas de masa constante –
pocos hay que no lo sean a efectos prácticos – la cantidad de movimiento sólo
se verá modificada por la acción de fuerzas
exteriores al sistema, aplicadas durante un determinado periodo de tiempo, de forma que:
En el caso de dos vehículos
colisionando perpendicularmente a 100 Km/h, el módulo de la cantidad de movimiento
que ambos aportan al sistema al entrar en colisión tendrá un valor cercano a:
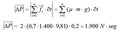
Las únicas fuerzas exteriores al
sistema serían las de rozamiento ejercido sobre los vehículos por el pavimento
durante las no más de 2 décimas de segundo que dura el contacto entre ambos
vehículos, por lo que el impulso exterior no superará el valor de:
Con este ejemplo se pone de
manifiesto cómo la acción de fuerzas exteriores al sistema (los dos vehículos
implicados) durante la colisión supondría una pérdida de menos del 3,5 % de la
cantidad de movimiento del conjunto.
Esto justifica la simplificación
consistente en despreciar la acción de toda fuerza exterior, estableciendo que la cantidad de movimiento de los vehículos
en su conjunto se conserva a lo largo de la colisión, expresado
vectorialmente como:
La proyección escalar de la
anterior expresión vectorial sobre los ejes “x” e “y” (raras veces habrá que
considerarse la componente vertical del movimiento de los vehículos) arroja dos
ecuaciones escalares, que permitirán obtener el módulo de las velocidades a que
circulaban los vehículos en el instante inmediatamente anterior a la colisión
(velocidades de “entrada en colisión”). Para ello habrán de conocerse
previamente las velocidades de salida de colisión y la orientación (ángulo) de
las trayectorias. Estos valores se obtienen a partir de los recorridos desde el
punto de conflicto hasta las posiciones finales de reposo, y a partir de
huellas y vestigios dejados sobre el pavimento por neumáticos, líquidos, u
otros restos de los vehículos.





No hay comentarios:
Publicar un comentario